Disco de cargas

 

M

R Lisboa

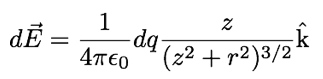
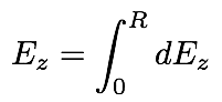
  1. BulletEscrever a expressão para o campo eletrostático para o elemente de carga,  dq.

O disco pode ser modelado como um conjunto de anéis concêntricos.

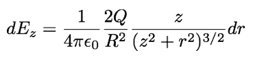
O campo elétrico do disco é devido ao elemento de carga de um anel:

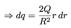
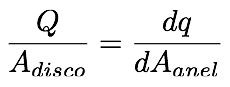
Uma vez que a carga é uniforme a seguinte proporção é válida:

O campo elétrico infinitesimal do disco é

é uma constante. É o ponto onde dE é calculado.

é uma variável (de integração).

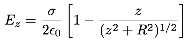
  1. BulletDevido ao princípio de superposição:

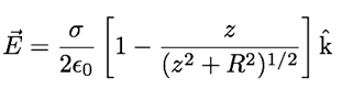
  1. BulletNo ponto P, o campo elétrico de um disco uniformemente carregado vale: