Energia e potência em circuitos CA
Energia e potência em circuitos CA
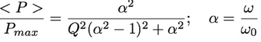
Quanto maior o valor de Q mais estreito e intenso é a largura de linha Δω (bandwidth) da amplitude de corrente.
Analogamente,
O fator de qualidade ou fator de mérito.
Crédito: Prof. Tarciro.
A largura de linha ou largura de ressonância
O fator de qualidade do circuito, qualquer que seja o regime de amortecimento, é dado pela razão entre a frequência de ressonância e a largura de linha.
Crédito: Prof. Tarciro.
O valor máximo na amplitude ocorre quando a impedância é mínima (Z = R).
Na ressonância o circuito se comporta como se não houvesse o indutor e o capacitor.