Capacitores

 
  1. BulletAcelerômetros

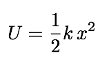
A energia potencial elástica de um sistema massa mola:

A energia potencial elétrica de um capacitor:

A energia para carregar um capacitor é análoga a energia para deformar uma mola

Analogia

mecânica x elétrica

Capacitores

  1. BulletAcelerômetros piezoelétricos

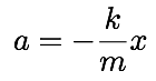
Um material piezoelétrico quando comprimido, gera uma voltagem elétrica.

  1. 1)Se a caixa estiver em repouso ou rapidez constante: a = 0


O material piezoelétrico suporta o peso da massa e sofre uma compressão que resulta em uma voltagem:  V0

2) Se a caixa for acelerada para cima: a > 0


A compressão do material piezoelétrico aumenta e a voltagem de saída se eleva proporcionalmente à aceleração: V1 > V0

2) Se a caixa for acelerada para baixo: a < 0


A compressão do material piezoelétrico diminui e a voltagem de saída se abaixa proporcionalmente à aceleração: V2 < V0

Capacitores

  1. BulletAcelerômetros capacitivos

Se as cargas nas placas forem mantidas constantes, a voltagem nos terminais de saída varia com a distância entre as placas. Placas mais próximas resultam em voltagens menores nos terminais.

Um capacitor pode ser usado para fazer um acelerômetro. Basta montar um tipo de capacitor no qual a distância entre as placas dependa da aceleração do conjunto.

Um arranjo possível de acelerômetro por capacitância.

Quando o conjunto está em repouso, a mola que segura a placa superior está distendida e a voltagem vale V2.


Quando o conjunto é acelerado para cima, a mola é comprimida e as placas do capacitor se aproximam uma da outra, resultando em uma voltagem menor V1.

Capacitores

  1. BulletAcelerômetros: Baixe e folheie a Tese: http://www.bibliopedant.com/6otIOSw6L2hUpPfNEr1Y